
REN500A型智能化х、γ輻射儀(又叫環境監測用X、γ輻射空氣比釋動能(吸收劑量)率儀或便攜式X、γ輻射周圍劑量當量率儀)采用高靈敏的閃爍晶體作為探測器,反應速度快,具有較寬的劑量率測量范圍。 該儀器除能測高能、低能γ射線外,還能對低能X射線進行準
REN400型多功能輻射檢測儀是以內置高靈敏度蓋格計數管為探測器,外接不同類型的探頭來實現對低劑量χ、γ射線,高劑量χ、γ射線,α、β射線和中子射線的檢測。作為多功能輻射巡測儀,能顯示工作場所的輻射值,自動連續測量和記錄280萬條輻射劑量率數據,更換
REN320立柱式X、γ輻射環境監測儀主要用于放射性監測場所的行人或行包通過的監測系統,采用大體積的閃爍體探測器作為探測器,具有體積小,便于攜帶,靈敏度高,誤差小的特點,適用與核應急等特殊的放射性檢測場合。該輻射儀由一根便攜式立柱和一個REN400型多功能輻射儀主機組成。輻射立柱與探頭之
本報警儀由REN300在線輻射安全報警儀和REN-3He-N中子探頭和REN-NaI30伽瑪探頭組成。該輻射報警裝置是采用特殊設計的前置放大電路,具有靈敏度高、操作方便、自動顯示、數據存儲和超閾值報警等特點,能實時給出x射線、γ射線、中子射線的輻射劑量率。考慮到現場操作、應急快速響應的需要,主機安裝
REN200型X、γ個人劑量報警儀(又叫X、γ輻射個人劑量當量HP(10)監測儀)內置高靈敏度蓋格計數管為探測器,主要用來監測各種放射性工作場所的X、γ以及硬β射線的輻射,具有響應快,測量范圍寬的特點。能顯示工作場所的劑量當量率和累積劑量,更換電池時,日期及累積數據能永久保
放射工作人員個人劑量委托監測服務
依據《GB18871-2002電離輻射防護與輻射源安全基本標準》和《GBZ128-2002職業性外照射個人監測規范》的要求,以熱釋光個人劑量計作為監測手段,為放射工作人員提供個人劑量委托監測服務,并為企業或衛生行政部
2006/11/1 9:46:00
前言
本標準的第3~7章為強制性的,其余為推薦性的。
根據《中華人民共和國職業病防治法》制定本標準,原標準GB18464-2001與本標準不一致的,以本標準為準。
本標準規定了醫用X射線治療機的輻射防護性能、治療機使用場所的輻射防護條件和使用治療機實施放射治療的輻射防護與安全的技術要求。
本標準由中華人民共和國衛生部提出并歸口。
本標準起草單位:北京市放射衛生防護所。
本標準主要起草人:王時進、馬永忠。
本標準由中華人民共和國衛生部負責解釋。
醫用X射線治療衛生防護標準
Standards for radiological protection in medical X-ray therapy
GBZ131-2002
1 范圍
本標準規定了醫用X射線治療機的輻射防護性能及其檢驗要求、治療室的輻射防護條件和使用治療機實施放射治療的安全操作與質量保證要求。
本標準適用于標稱X射線管電壓為10kV~1MV的醫用X射線治療機(以下簡稱治療機)的生產和使用。
本標準不適用于醫用加速器的X射線治療。
2 規范性引用文件
下列文件中的條款通過本標準的引用而成為本標準的條款。凡是注日期的引用文件,其隨后所有的修改單(不包括勘誤的內容)或修訂版均不適用于本標準,然而,鼓勵根據本標準達成協議的各方研究是否可適用這些文件的最新版本。凡不注日期的引用文件,其最新版本適用于本標準。
GB9706.10 醫用電器設備 第二部分:治療X射線發生裝置安全專用要求。
GB9706.12 醫用電器設備 第一部分:安全通用要求三并列標準:診斷X射線設備輻射防護通用要求。
3 總則
3.1 醫用X射線治療必須遵循放射防護基本原則,要求照射正當化,輻射防護最優化,并使工作者和公眾的受照不超過規定的劑量限值;患者所受的醫療照射,應遵循實踐的正當性和防護的最優化原則。
3.2 醫用X射線治療必須采取安全措施,盡可能減少或避免導致重大照射事件的發生及不良后果。
4 治療機防護性能的技術要求
4.1 治療機泄漏輻射的限制
4.1.1 治療狀態下,X射線源組件的泄漏輻射應按表1控制。
表1 治療狀態下X射線源組件1)泄漏輻射控制值
|
X射線管額定電壓,kV |
空氣比釋動能率控制值,mGy/h |
|
>150 |
距源組件表面5Omm 300 |
|
|
距X射線管焦點1m 10 |
|
≤150 |
距X射線管焦點1m 1 |
|
≤502) |
距源組件表面5Omm 1 |
|
注: 1)X射線源組件包括固定安裝在X射線管套上的限束器 | |
4.1.2 非治療狀態下,X射線源組件的泄漏輻射和非有用輻射的控制值
當X射線源處于以手動中斷治療而X射線管高壓仍通電,或預定的治療終止且X射線管高壓斷電的非治療狀態時,自中斷或終止輻射束發射后5s開始,空氣比釋動能率控制值:在距X射線管焦點1m(包括治療束方向)處,不得超過0.02mGy/h;在距X射線源組件表面50mm處,不得超過0.2mGy/h。
4.1.3 可卸式限束器的泄漏輻射控制水平
可卸式限柬器僅指直接與X射線管組件連接但可拆卸的集光筒或可調限束器的整體固定部分。在可卸式限束器出口照射野全屏蔽條件下,限束器照射野外的相對空氣比釋動能率不得超過表2的控制水平。
表2 可卸限束器的相對泄漏輻射控制水平
|
限束器出線口處屏蔽鉛板的尺寸為照射野橫(縱)向相應尺寸的倍數 |
可卸限束器的相對泄漏輻射1)控制水平,% |
|
1.5倍 1.1倍 |
0.5 2 |
|
注:1)在距鉛板邊緣20mm以外任何位置的最大空氣比釋動能率占同一平面上無鉛板時射線束中點處空氣比釋動能率的百分數 | |
4.1.4 除X射線源組件外其余部件的泄漏輻射控制值
除X射線源組件外,距X射線機的任一部件表面50mm 的任何位置上,空氣比釋動能率不得超過0.02mGy/h。
4.2 與有用線束輻射輸出量相關的技術要求
4.2.1 累積輻射輸出量的重復性
照射野內有用線束累積空氣比釋動能的重復性應不大于5%(X射線管電壓≤150kV)和3%(X射線管電壓>150kV)。
4.2.2 累積輻射輸出量的線性
照射野內有用線束累積空氣比釋動能的非線性應不大于5%。
4.3 治療機控制臺
控制臺應具有下列安全控制設備:
(1)主電源鎖。
(2)預置的照射條件的確認設備。
(3)在確認照射條件無誤后啟動照射的設備。
(4)在緊急情況下中斷照射的設備。
(5)輻射安全與聯鎖裝置(詳見第4.5條)。
4.4 計時器和劑量監測儀
治療機的計時器和劑量監測儀,應能防止自動終止照射的意外故障,其要求如下:
(1)當治療機同時設有計時器(兩臺)或劑量監測儀(兩臺)時,必須以并列或主/次組合方式配置。其中每一臺必須能夠獨立終止照射。
(2)當達到預置值時,并列組合的兩套系統或主/次組合的主系統必須終止照射。因主次組合的主系統故障未終止照射并超過了預置值的10%,或計時器超過0.1min,或劑量監測儀在相應標稱距離處的吸收劑量超過0.1Gy時,次級系統必須立即終止照射。
4.5 輻射安全與聯鎖要求
4.5.1 治療機必須具有安全設備,當出現第4.5.2-4.5.5條中任何一項錯誤或故障時,能中斷照射,并有相應故障顯示。
4.5.2 對X射線源組件移動設備故障的保護
治療機照射時,X射線源組件相對患者的移動設備在執行預置的移動指令過程中,受到卡、阻或發生其它移動故障時,應由保護設備強制自動中斷照射。
4.5.3 防止X射線管通電時誤照射
此項設備可以是輻射吸收部件(如快門),其工作應當:
(1)若吸收部件工作不正常,不可能使X射線管通電。
(2)當X射線管通電時,吸收部件出現故障應導致X射線管斷電。
(3)當輻射束停止發射時,吸收部件應工作到位。
4.5.4 防止組合照射條件誤置時誤照射
組合照射條件包括X射線管電壓、X射線管電流、固定與附加過濾、限束器(可調限束器或集光筒),以及X射線源組件移動設備等與病人治療相關的諸照射條件的組合。
控制臺設置的組合照射條件有下列情況之一時,治療機不能輸出輻射:
(1)沒有按治療計劃預置。
(2)預置超過了設備的性能指標。
(3)預置條件不正確(如過濾器、限束器安放位置不當或安放方向錯誤)。
(4)當組合照射條件能夠在治療室內和治療室外的控制臺設置時,控制臺的設置與機旁的設置不一致。
(5)預置未經控制臺確認檢驗。
4.5.5 防止人員誤入治療室
治療室的防護門必須與治療機的工作狀態聯鎖,只有關閉治療室門時才能照射;在治療機照射狀態下意外開啟防護門則中斷照射。應當采取預防措施,防止照射中意外開啟防護門,且此時在控制臺應有相應顯示。
4.6 輻射束發射的啟動與中止
(1)正常情況下,必須按順序設置第4.5.4條所述的組合條件,并經控制臺確認驗證設置無誤時,由"啟動"鍵啟動照射。在完成預置的照射后自動終止照射。
(2)正常情況下,再次發射輻射束,必須按上述步驟重新設置與操作。
(3)在異常情況下,由第4.5條的安全設備中斷照射。此時,必須在排除故障并在控制臺"復原"后才可由"啟動"鍵啟動照射,繼續完成原預置的照射;或者在重新設置后才能再次啟動照射。
4.7 手持治療機的特殊要求
(1)治療機的X射線管標稱電壓不得大于50kV。
(2)X射線管組件除手持外還應有其它的固定方法。
(3)只能由手持X射線管組件的工作人員控制X射線管的通電。
(4)必須具有表征X射線管通電的聲響和燈光警告信號。
(5)治療機必須配備個人防護用帽子、手套和圍裙,其對X射線的衰減不小于0.25mm鉛當量,并在隨機文件中給出提醒操作者使用這些防護用品的要求。
4.8 部件規格標識和隨機文件
4.8.1 部件規格標識
治療機及其部件必須具有牢固、清晰易認的下列標識:
(1)在X射線源組件表面,標識出焦點的位置和固定過濾的材料與厚度。
(2)可卸附加過濾器的材料、厚度、插入方向標記及插入后的工作狀態指示。
(3)治療束集光筒遠端出口照射野的標稱尺寸和焦點到遠端的距離。
(4)可調限束器照射野的尺寸和標稱焦皮距的指示。
(5)防護設備輔件對X射線衰減的當量厚度或衰減因子。
4.8.2 隨機文件
治療機的隨機文件必須符合GB9706.10的要求。
4.9 照射野及其它
照射野及其它應符合GB9706.12中可適用的輻射防護通用要求。
5 治療室的防護要求
5.1 治療室的設置必須充分考慮周圍地區與人員的安全,一般可以設在建筑物底層的一端。50kV以上治療機的治療室必須與控制室分開。治療室一般應不小于24m2。室內不得放置與治療無關的雜物。
5.2 治療室有用線束照射方向的墻壁按主射線屏蔽要求設計,其余方向的建筑物按漏射線及散射線屏蔽要求設計。
5.3 治療室必須有觀察治療的設備(如工業電視或觀察窗)。觀察窗應設置在非有用線束方向的墻上,并具有同側墻的屏蔽效果。
5.4 治療室內的適宜位置,應裝設供緊急情況使用的強制中止輻照的設備。
5.5 治療室門的設置應避開有用線束的照射。無迷道的治療室門必須與同側墻具有等同的屏蔽效果。
5.6 治療室內門旁應有可供應急開啟治療室門的部件。
5.7 治療室門必須安裝第4.5.5條聯鎖設備,門外近處應有醒目的照射狀態指示燈和電離輻射警告標志。
5.8 治療室要保持良好的通風。電纜、管道等穿過治療室墻面的孔道應避開有用線束及人員經常駐留的控制臺,并采用弧狀孔、曲路或地溝。
6 實施放射治療的防護要求
6.1 放射治療的正當性要求
放射治療必須建立處方管理制度,只有具有資格的處方醫師才可申請X射線治療。處方醫師必須根據病人狀況進行X射線治療的正當性分析與判斷,避免不正當的X射線治療。
6.2 優化治療計劃
6.2.1 在對計劃照射的靶體積施以所需要的劑量的同時,應使正常組織在放射治療期間所受到的照射保持在可合理達到的盡量低的水平。
6.2.2 優化治療計劃應當包括:分析病人已進行過的放射與非放射治療;按照病灶條件擬定單照射野或疊加照射野及每個照射野給與病灶組織的劑量;治療照射條件的選取;采取屏蔽及合理計劃照射的措施保護患者的正常組織與重要器官。
6.3 防護安全操作要求
(1)操作者必須熟練掌握并嚴格執行操作規程。重要的安全操作內容必須在治療機控制室醒目懸掛。
(2)放射治療操作者必須佩帶個人劑量計。治療過程中,操作者必須始終監視著控制臺和患者,并及時排除意外情況。
(3)操作者不得擅自拆除輻射安全與聯鎖設備。當維修需要時,必須經過負責人員同意,并在控制臺醒目告示治療機正在維修。維修后及時恢復安全與聯鎖設備,檢驗其控制功能正常,并經負責人員確認后才可進行放射治療照射。
(4)50kV以上治療機照射時,除患者外,治療室內不應有其他人員滯留。
(5)使用50kV以下手持治療機時,操作者必須穿戴防護手套和不小于0.25mm鉛當量的圍裙,并盡可能遠離治療機的X射線管組件。
6.4 質量保證的一般要求
6.4.1 放射治療應配備相應的治療醫師、物理師、技術員等有資格的人員。
6.4.2 放射治療應建立質量保證管理組織和制定質量保證大綱,建立對實施治療計劃的核查制度,完好地保存治療記錄。
6.4.3 放射治療必須經常、定期核查治療機的輻射輸出量,保障患者靶區組織所接受的吸收劑量與處方劑量之間的偏差不大于5%。
6.5 治療機質量控制檢測要求
6.5.1 每日放射治療前,應檢驗照射的啟動、終止及其相應的照射狀態顯示以及治療室門聯鎖。
6.5.2 治療單位每周應對治療機組合照射條件(第4.5.4條)和緊急中斷照射設備(第4.3(4)和5.4條)進行實驗檢查;用放射治療劑量測量儀檢驗輻射輸出量。
6.5.3 治療機生產廠的型式試驗和管理部門對定型產品的檢驗按GB9706.10和本標準的全部要求進行檢驗。
6.5.4 用戶驗收檢驗和管理部門對使用中的治療機的年度檢驗除進行第6.5.1和6.5.2條檢驗外,應對輻射輸出量的重復性、線性和治療機的泄漏輻射(每二年一次)進行檢驗。檢驗方法見第7章。此外,對第4.5.2和第4.5.3條安全聯鎖應進行模擬實驗核查。
6.5.5 治療機更換X射線管或其它大修后,維修部門、用戶和管理部門應對影響到的治療機性能指標進行相應的檢驗。
7 檢驗方法
7.1 治療機泄漏輻射檢驗
7.1.1 檢測條件與要求
(1)必須在隨機文件給定的治療機性能指標范圍內能導致最大泄漏輻射的條件下(即額定X射線管電壓和相應的最大管電流)進行檢測。檢測結果扣除預先測定的本底值,并按國家法定計量檢定部門定期校準的系數校正為以"mGy/h"為單位的空氣比釋動能率。
(2)檢測儀表的能量響應和測讀范圍應能滿足相應測量的要求。儀表的基本誤差應小于15%,檢測的擴展不確定度應小于30%。
(3)距X射線管焦點1m位置上的檢測,必須在與X射線束中心軸垂直的測量平面上長軸線度不大于20cm的100cm2面積上取平均值。
(4)在第4.1條中,距相應邊界20mm和50mm的檢測,必須在與X射線束中心軸垂直的測量平面上長軸線度不大于4cm的10cm2面積上取平均值。在檢測儀表實際達不到所要求的位置時,可以在盡可能接近所要求的距離上進行檢測,并將其作為所要求位置的結果。
7.1.2 治療狀態下X射線源組件的泄漏輻射
(1)X射線管套的輻射束出口必須嚴密覆蓋屏蔽體,其厚度應對有用線束軸上的空氣比釋動能率具有不少于106的衰減,其幾何尺寸不得超過輻射束邊界外5mm
(2)檢測點應當包括:以X射線管焦點為中心,有用線束中心軸、X射線管長軸、與此二軸垂直的軸組成三維坐標體系,每兩條軸線之間的夾角為0°、45°、90°、135°、180°、225°、270°、315°的方向上,相應第4.1.1條中表1規定的位置。
(3)照射條件同第7.1.1(1)條。檢測可以采用直接劑量率測讀或由計時累積劑量計算。直接測讀應使用可在遠距離測讀的劑量率儀表。累積劑量可以使用熱釋光劑量計或積分劑量計。
(4)評價標準:見第4.1.1條中表1。
7.1.3 非治療狀態下X射線源組件的泄漏輻射和非有用輻射
(1)治療機在第7.1.1(1)條的條件下照射,在終止照射后迅速在第4.1.2條規定的位置以空氣比釋動能巡測儀表直接測讀。
(2)評價標準:見第4.1.2條。
7.1.4 可卸式限束器的泄漏輻射
(1)對與治療機配套的所有可卸式限束器逐一檢驗。
(2)對可調限束器,測量應在照射野各規定的調節位置上進行。
(3)卸下限束器遠端的透輻射曲面端蓋,并將限束器直接接到X射線管組件上。
(4)在與第7.1.1(1)條相應并具有規定的最大衰減過濾的照射條件下檢測。
(5)在限束器遠端出口處照射野幾何中心位置,測量空氣比釋動能率。測量方法同第7.1.2(3)條。
(6)以對有用線束中心軸上的空氣比釋動能率具有不少于104衰減的平整鉛板嚴密覆蓋限束器出口。鉛板的形狀與出口處照射野的形狀相同,幾何尺寸符合第4.1.3條表2的要求。
(7)在第4.1.3條表2要求的鉛板的外側平面上,距鉛板邊緣20mm 處,以熱釋光劑量計檢測限束器的泄漏輻射,計算檢測點的泄漏輻射空氣比釋動能率。對于圓形限束器均勻選取八個檢測點。對于矩形限束器,沿每條邊選取相應邊線長度1/4、1/2、3/4位置的三個檢測點。
(8)計算本條(7)與(5)的比值,按第4.1.3條表2評價。
7.1.5 除X射線源組件外其余部件的輻射
(1)其余部件通常指高壓發生器。
(2)照射條件同第7.1.1(1)條。以空氣比釋動能率巡測儀在第4.1.4條要求的位置直接掃描測量。
(3)評價標準見第4.1.4條。
7.2 累積輻射輸出量的重復性、線性檢驗
7.2.1 檢測條件與要求
(1)通用實驗條件同GB9706.10第50.101條。
(2)檢驗用的電離室劑量計應符合工作級劑量計的要求。
(3)所有的檢測結果都必須扣除預先測讀的本底值。除相對測量而外,檢測結果都必須按檢測時刻電離室所在位置的環境溫度與大氣壓強校正至標準條件(2O℃,101.3kPa),并按國家法定計量檢定部門定期刻度的系數轉換為相應"SI"單位的量值。測定的不確定度應小于3%。
7.2.2 生產廠型式試驗
檢驗方法與評價同GB9706.10-1997第50.2條和第50.101-50.104條。
7.2.3 其它驗收檢驗和狀態檢驗
在電源電壓為220V的99-101%和最常用的限束器及總過濾(固有過濾與附加過濾的總和)的條件下,按下述方法檢驗累積輻射輸出的重復性和線性。
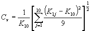
(1)在額定X射線管電壓條件下測量累積照射達到0.2滿度值的讀數。重復測量10次。計算前五次測讀的平均值
和十次測讀值K1j的平均值K10及其相對標準偏差Cv
…………………………¨(1)
(2)額定X射線管電壓條件下,測量累積照射達到0.05滿度值的讀數,重復測讀5次,計算平均值
。
(3)在X射線管電壓為"較低值"(即50%額定值或規定的最低值,取一者中較高的)時,測量累積照射達到0.05滿度值和0.2滿度值的讀數。重復測讀5次,計算平均值
和
。
(4)計算上述測讀均值
與預置值Qi的比值Mi:
.................(2)
(5)累積輻射輸出重復性實驗的評價標準:相對標準偏差Cv不超過:
0.03—對于額定X射線管電壓大于150kV的治療機;
0.05—對于額定X射線管電壓不大于150kV的治療機。
(6)累積輻射輸出線性檢驗的評價標準:
|M1-M2|≤0.025|M1+M2|且|M3-M4|≤0.025|M3+M4|
產品名稱: REN-NaI30型高靈敏度閃爍體低量程射線探頭
產品描述: REN系列智能化輻射探頭均可和REN300、REN300A、REN300B系列主機配套使用,也可以單獨配套RenRiArea輻射區域監測軟件使用。且具有RS485/RS232的通訊能力。所有探頭均可單獨外接報警燈,在超閾值的情況下就地給出聲光報警。 1、測量射線類型:X、γ射線2、探測器:Φ30×
產品名稱: REN500T長桿x-γ劑量率儀
產品描述: REN500T是手持式儀表可用來監測X、γ輻射劑量率。用于各種γ輻射場或環境γ輻射的監測工作。儀器配有伸縮長桿,可用于測量人員不易到達或有較強放射性存在的場所,為使用人員提供有效保護。此外通過配套的RenRiRate輻射劑量管理軟件可將存
產品名稱: REN500E輻射劑量率儀(手持式)
產品描述: REN500E輻射劑量率儀是以內置高靈敏度蓋格計數管為探測器,測量χ、γ和硬β輻射的多功能便攜式劑量率儀。作為輻射巡測儀,能顯示工作場所的劑量當量率和累積劑量,自動連續測量和記錄1600條輻射劑量率數據,更換電池時,日歷、時間及檢測數據能永久保存。工
產品名稱: REN300A+REN-3He-N型固定式中子、伽瑪報警儀
產品描述: 本報警儀由REN300A在線輻射安全報警儀和REN-3He-N中子探頭和REN-GM-L X、伽瑪探頭組成。該輻射報警裝置是采用特殊設計的前置放大電路,具有靈敏度高、操作方便、自動顯示、數據存儲和超閾值報警等特點,能實時給出x射線、γ射線、中子射線的輻射劑量率。考慮到現場操作、應急快速響應的需要,主
產品名稱: REN600A型α、β、γ射線表面污染檢測儀
產品描述: REN600A型α、β、γ射線表面污染檢測儀即可檢測α、β、γ射線,也能檢測到X射線,它采用高速嵌入式微處器作為數據處理單元,點陣式大屏幕LCD液晶顯示,讀數清晰、操作方便,具有400條超大容量數據存儲。儀器采用進口的大面積MICA蓋革探測器,具有較高探測效率,可進行α、β輻射表面污染檢測和X、γ輻
產品名稱: 鉛屏風、鉛衣架、電離輻射警示牌、分源防護屏、鉛箱、注射器防護套、報警燈
產品描述: 單聯移動式防護屏風 1、規格尺寸: H×W:1800×900 (mm)2、商品描述: 上部鉛有機玻璃的高度為 H×W:240×240 (mm)3、鉛當量: 鉛玻璃0.5mmPb, 下部分鉛當量為0.5mmpb4、外飾材料:碳素鋼板噴
產品名稱: REN510型便攜式γ譜儀
產品描述: REN510型便攜式γ譜儀主要用于安檢、反恐、核事故現場的污染分析,可進行γ輻射劑量的測量,同時系統內置核素庫,可以自動識別人工及天然同位素。儀器為一體式,內置2英寸NaI(Tl) γ探測器,可同時測量γ能譜、γ劑量率。儀器為全數字化,集探測器、成型放大器、多道分析器、電源、觸摸屏、內存為一體,功耗
產品名稱: REN-2GM-H雙GM管超高量程射線探頭
產品描述: REN系列智能化輻射探頭均可和REN300、REN300A、REN300B系列主機配套使用,也可以單獨配套RenRiArea輻射區域監測軟件使用。且具有RS485/RS232的通訊能力。所有探頭均可單獨外接報警燈,在超閾值的情況下就地給出聲光報警。 1、測量射線類型:X、γ射線2、探測器:2個GM

,表面污染測量儀,表面污染儀,表面沾污儀,表面污染檢測儀,表面沾污測量儀,表面沾污檢測儀
上海仁日輻射防護設備有限公司(Shanghai Renri Radiation Protection Equipment Co., Ltd.) 上海仁日科貿有限公司 版權所有
電話:021-69515711 手機:13818065015 傳真:021-69515712 Email:market@renri.com.cn
QQ:1993509414 地址:上海市曹安路1509號福瑞大廈516室 郵編:201824